The radical pair terms two radicals located on molecular distance (3-10á) from each other and which are generatrix a system with two interacting electrons with the aggregate spin S = 1 [1].
The radical pairs are intermediats in responses of a dissociation - recombination, one-electron transposition, disproportioning. Because of this reason radical pairs are convenient two-spin sondes for measuring intermolecular distances, dipole - dipole and exchange interactions, study of molecular dynamic and elementary chemical responses in cell of rigid matrixes and solutions. All this has stipulated major interest to their study [1].
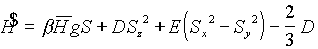
The presence of dipole - dipole magnetic interaction of two unpaired electrons is characteristic for radical pairs which reduces in a douplet separation of a signal EPR. It follows from a solution of a stationary problem, which consists in searching decomposition of levels because of interaction with moments of magnet enclosing a spin, and own orbital moment. It requires a determination of levels of an energy of a Hamiltonian [2]:
 

(1)









 

Where  - tensor describing a spin-orbit interaction;  - tensor of decomposition in a zero field;  - tensor of a hyperfine interaction.
The tensor of decomposition in a zero field gives magnetic interaction of two lone electrons of a pair: [3]:
 
 


(2)









 

Where the brackets < > designates an average of elements of a tensor on all possible positional relationships of two lone electrons of a pair,  - g-factor of a free electron,  - electronic magneton of the Bohr. In a system of main axises the tensor has diagonal an aspect. Through principal values of a tensor the parameters of decomposition in a zero field D and E are:
, (3)

, (4)

Where  - greatest modulo principal value [4].

ïÇÒÁÎÉÞÅÍÓÑ in the beginning by reviewing of the first two terms of a Hamiltonian (1). Using magnitudes D and å it is possible to present square-part on a spin a term  As [5]:

, (5)

Where x, y, z - principal coordinate axises. A complete Hamiltonian we shall receive by adding a Zeeman energy:

. (6)

Where  - external magnetic field [5]. Generally speaking,  Is not equal  - to the g-factor of a mobile electron, that will be taken into account below.

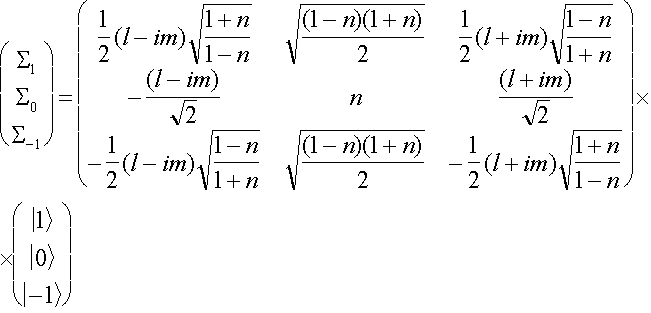
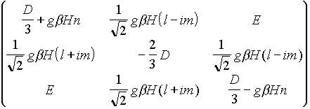
The matrix of a Hamiltonian (6) in relation to basis functions Y = | j, M> of a system S = 1 (M = + 1, 0, -1) has an aspect:

(7)

Where l, m, n - direction cosines of an external field in relation to magnetic axeses fixed in a triplet [5].

The magnetic axeses are defined as a frame, in which Hamiltonian of magnetic dipole - dipole interaction expresses with the help of the formula (5), that is without crossbar products of a type SxSy, when the basis functions are quantized along one of these axeses. Such gang of axeses always exists [6]. They can be defined in view of a symmetry of a molecule. For example in a triplet of Naftalen one axes is perpendicular to plane of a molecule, second and third lays along a short symmetry axis in a plane of a molecule, - along long [5]. In case of a low symmetry the definition of axeses direction in relation to molecular geometry is not so obvious, but can be defined experimentally [7].
The eigenvalues and eigenfunctions for (7) are easily gained, when the field î is guided along one of principal axises [8].
For example, if î || z, levels of an energy and the spin part of wave functions is

,

,

,

,

,

, (8)

Where .

For major fields î,  And . The levels of an energy are submitted on Fig.1:
 
 



Fig.1






 

Practically, the choice of axeses is certainly arbitrary. However magnitudes D and å vary thus [8]. The parameters circumscribing an energy distribution in lack of an external field are showed on Fig.1; these levels are gained, if in (5) to take coefficients with opposite is familiar. To each level of an energy of a zero field there corresponds a principal coordinate axis. At a field î, which is parallel to this axes, at magnification of a field the energy does not vary. D is a variance between a level z and two by others. Last are decomposed on 2å. As the sign å can vary at a modification of axeses x and y, we can assume, that both parameters of a zero field are positive. When all three axeses independent, we shall arrange them so, that D> 3å. If two axeses are equivalent, the third direction we shall select for an axes z and å = 0.

Though the dipole - dipole interaction of unpaired electrons are usually comparable to microwave quantum of an energy, it is convenient to consider a case, when the parameters of a zero field are considered as small perturbation. The principal singularities of the shape of a line are taken into account by this approximation. Neglecting D and å, and guessing the g-factor isotropic, and eigenvalues for (7) equal + gbH, -gbH, 0, for spin parts of the eigenvectors we have:

(9)

[5].

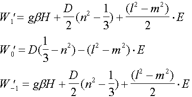
Introducing D and å as perturbation, the levels of an energy in the first order of an approximation will be:

(10)

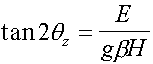
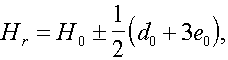
With an oscillating magnetic field î1 of ^ î, the transmits 0 - 1 and -1 - 0 are solved. As microwave frequency of oscillations is constant, shall note field, at which is carried out passage as:

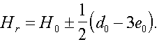
(11)

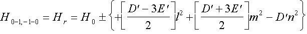
Where the resonance for isolated doublets exists at H0 = hn/geb and D ? = D/geb. At î to parallel magnetic axeses x, y or z the absorption will be carried out at îr = H0 £ (D ? - 3E ?) /2, £ (D ? + 3E ?) /2, - (£D ?) in this approximation. It is axial resonance fields. The lines of transmits DM = 2 with | -1> on | + 1> are not displaced rather î0. Their disposition is less sensitive parameters of a zero field, than for transmits with DM = 1. The intensity of passages with DM = 2 is the second order on D and å2 [5].
At an evaluation of the shape of a line I (H) in the first order of an approximation we shall neglect any modifications of a transition probability in field circumscribed (11). By broaderings of a line as while neglecting, we have

å = 0

If axes x and y are equivalent, (11) passes in:

(12)
 
 

Fig.2

On Fig.1 the energy level diagram of a radical pair in a monocrystal is submitted. However for polyoriented  model of glassed polycrystallic samples the axes transiting through two unpaired electrons, generatrix a radical pair, will make an arbitrary angle q with a direction of a magnetic field î0. In this case shape of a signal EPR is a superposition of such spectrums of monocrystals taken with necessary weights. The obtained spectrum of a radical pair in a polycrystal is reduced on Fig.2 (more often with the purposes of a raise of responsivity spectrometers EPR register the first derivative of a signal of an absorption). Its components and and there are termed as parallel components, because they answer a direction of an axes of a radical pair, parallel constant magnetic field î0, and the components b and b/ are termed as perpendicular components adequate a direction of an axes of a radical pair, perpendicular magnetic field î0 [1].

In an approximation of point dipoles the following associations [2,9] are valid:

(13)

(14)

Where Dvis - observable decomposition of a doublet of a radical pair with a defined value q; rÓÒ - medial reference distance between unpaired electrons expressed in And; and = 3/2 in (14) corresponds to a case of resonance spins having practically conterminous Larmor frequencies [2].

The improved method of definition of magnitude D from spectrums EPR of radical pairs was offered in operation [10]:

(15)


Fig.3

In a coordinate system, figured on Fig.3 the unit vector, directed along a field î expresses by the formula [16]:

(16)

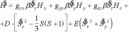
If we take into account an anisotropy of the g-factor and å, in limits of our model the spin Hamiltonian gains an aspect:

(17)

Where S - complete spin of a system, the tensors g and d have only nonzero diaganal devices:

(18)

And [16]

(19)

In the mentioned above spherical coordinate system, introducing a label

(20)

Easily we obtain

(21)

If we take into account only Zeeman interaction, the common solution of a spin Hamiltonian: (22)

That is, according to our model, the position of a line EPR depends on both angles q and j, and, in principal orientations, when the field is guided along axeses x, y, z, the magnitude g makes g = (gx, gy, gz). The extreme positions of an absorption line answer minimum and maximum of magnitudes (gx, gy, gz), and the third g-factor corresponds to orientation of a field, perpendicular first to two. A mode of definition of components of a g-tensor from angular association of spectrums EPR of a monocrystal [16] from here follows.

If except for Zeeman interaction to take into account initial decomposition, for a case S = 1 is obtained

(23)

Where

(23Á)

Thus each principal orientation is answered by two lines

H ?? z: 

H ?? x: 

H ?? y: 

In operation [1] the following formula for definition of common number of spins (that is intensity) in a radical pair is given:

(24)

Where I and d - amplitude and visual breadth of a perpendicular component, D - magnitude the initial dipole - dipole of decomposition, k - coefficient which is taking into account the shape of a line. For the Gaussian shape of a line k = 1.2, for the Lorentzian shape of an individual line k = 2.

As displays the simple analysis [1], in a case D < 0 lines a, b/ correspond(meet) to passage of a spin from a level M = 0 on a level M = + 1; in case D < 0 the inverse pattern is observed. The usual experimental methods EPR of a spectroscopy allow to find only absolute value, but not signs D [11,12]. Between that the sign D is rather essential to interpretation of outcomes. In an approximation of point dipoles (or noninteracting electrons, field of which delocalization it is a lot of less than distance between radicals) from (2) and (3) follows, that D < 0 and, in this case on magnitude D it is possible to define medial reference distance between unpaired electrons from the formula (14). If D> 0, such interpretation is untrue and, in this case it is possible to speak about a strongly interacting and overlapped spatially two-electronic system [13,14,15].

T he sign D can be exhibited in spectrums EPR of radical pairs, if the spin levels are populated nonuniformly, that is factor Boltzman  (here î - constant magnetic field, k - constant of Boltzman, ô - Kelvin temperature) and the electronic spins are polarized (oriented mainly along a direction of a field). Then the relation of intensities of canonical peaks in a spectrum will vary, that is the spectrum will become asymmetric with is familiar to asymmetry depending from D. This case is submitted on Fig.4; the spectrum (Á) corresponds D>0, and spectrum (Â) D<0. In usually used EPR 3-ÓÍ of a gamut î ? 3þ103Gs and for observation of polarization it is necessary to cool a sample up to ô < 0.4K. Probably, just for this reason effects of soft polarization and the signs D in radical pairs till now never studied. At using EPR 2-mm of a gamut î ? 5þ104çó necessary temperature reaches ô < 6.5K. The experiments in such field of temperatures are quite accessible. Stable radical pairs which are generatrix at a share attrition of rigid dusts of donor-acceptor junctions (spatially shielded Fenols and Hinons) [13,14,15] for the first time were in a similar way examined. The spectrums EPR had the shape figured in the fig. 4Á, that is for similar pairs D>0. It has allowed to make an output about a strong coupling of electronic systems of two radicals [13,14,15].
 
 


Fig.4